目錄
動態多模分析和調Q運轉模擬 1
1.介紹 1
2.激光器連續輸出時輸出功率,模式競爭,和光束質量的模擬 2
3.Q開關運轉模擬 6
4.光闌影響模擬 10
5.結論 12
1.介紹
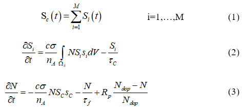
動態多模分析的目的是進行激光多模和激光調Q運轉分析。激光腔內橫模結構近似為HG和LG模式。HG和LG模式是不同本征頻率對應的正交特征函數,我們假設模式之間的橫模振蕩互不干擾,因此模式之間的短時干涉影響可以忽略。基于這個假設,起振模式中的反轉粒子數密度和光子數是由下面的以時間為變量的3D速率方程描述:

方程1-3描述反轉粒子數密度 ,腔內總光子數 ,歸一化光子密度分布 ,單個橫模的光子數 ,相應的單個模式歸一化光子密度分布 。在單個模式中基于光子數 的時間和光子密度分布 用于描述整個橫模結構的分布。采用同樣的方法,可以得到與時間相關的模式競爭效應分析和腔的多模行為。該計算結果可用于計算光束質量和激光功率輸出,描述與時間相關的Q開關運轉。
方程2-3中的參數如下
方程2-3用于四能級激光系統。準三能級系統的多模分析還在研究中。三能級(泵浦能級)和能級2(激光上能級)之間,能級1(激光下能級)和能級(基態能級)之間的快速衰減速率已被假定。
在前面的章節中有詳細的關于計算激光輸出功率,Q開關運轉和光闌影響的參數和方程之間的數學關系的介紹。或者,可以點擊LASCAD主窗口主菜單的“Help DMA Code”。
接下來有一個關于DMA編碼的指南。它顯示了怎樣比較合理地定義DMA GUI中單個輸入參數來模擬CW多模操作,Q開關運轉和光闌的影響。
2.激光器連續輸出時輸出功率,模式競爭,和光束質量的模擬
要使用DMA編碼,需要在腔內插入一個熱透鏡晶體。可以參照教程1的說明,準備一個端面泵浦的晶體。簡便地,我們可以直接打開tutorial-1.lcd文件激活腔結構,該文件可以在LASCAD的子目錄“tutorials”中找到。在我們設置好FEA編碼和在模式腔內插入晶體后,在LASCAD主菜單中選擇 “Dynamic Multimode Analysis”,打開DMA窗口。在該窗口中,點擊Open GUI for DMA,打開“Dynamic Multimode Analysis”。該窗口有5個標簽,如下:
2.1 高斯模式選項
點選該選項并選擇“type of Gaussian modes”來近似激光模式結構。如果模式結構是象散的,選擇Hermite-Gaussian模式。在旋轉對稱腔結構設計時,選擇LG模式更好。但是,如果橫模數量較多,則推薦采用Hermite-Gaussian模式,高階LG在數值上更復雜。模式類型選擇會自動地基于激光模式結構的象散選擇。“Maximum transverse mode order”定義在x和y方向的最大傳輸模式階數Nmax。但是,隨著Nmax的增加,由于總模式數  ,因此M也會跟著變大,將耗費一定的計算時間。
如果Nmax已經定義,我們需要設置“Number of grid points in x- and y- direction”足夠大來解決高階傳輸模式的傳輸強度振幅分布。否則,該數值和熱FEA中使用的橫向格點大小一樣。熱FEA大小仍然保留“Number of grid points in z-direction”。
“Stretch factor in x- and y-direction related to beam diameter”的定義嚴格依賴于Nmax和在Help中描述的泵浦光分布情況。如果Nmax=0,我們就需要將伸展因子設置為2來考慮基模和吸收泵浦光功率分布的疊加情況。
|